SSAT Math Question 487: Answer and Explanation

Home > SSAT Test > SSAT Math Practice Tests

Test Information

Question: 487

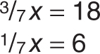
1. If Images of a number is 18, then ½ of the same number is

  • A. 32
  • B. 30
  • C. 28
  • D. 24

Correct Answer: E

Explanation:

E is correct.

Images

x = 42

½x = 21

Previous       Next