SSAT Math Question 230: Answer and Explanation
Home > SSAT Test > SSAT Math Practice Tests
Test Information
- Use your browser's back button to return to your test results.
- Do more SSAT Math Practice Tests.
Question: 230
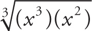
4.
=
- A. (x)

- B. x15
- C. x2
- D.

Correct Answer: A
Explanation:
The answer is A
According to PEMDAS, you can move the exponent under the root:
. There is one x3 included in x5, so you can pull that out as x. Remaining under the root is x2 :
.
You can expand out the expression:
, or
. This can be expressed as
. Therefore, there is one cube to remove from the cube root, but x2 is left behind:
- SSAT Test
- SSAT Prep
- Test Structure
- Scores
- Test Dates
- SSAT Verbal
- SSAT Synonyms
- SSAT Analogies
- SSAT Reading
- SSAT Math
- SSAT Writing
- Essay Samples
- Essay Prompts
- ISEE Test
- ISEE Prep
- Test Structure
- Scores
- Test Dates
- ISEE Verbal
- ISEE Synonyms
- ISEE Sentence Completion
- ISEE Reading
- ISEE Math
- ISEE Quantitative Reasoning
- ISEE Mathematics Achievement
- ISEE Word Problems
- ISEE Writing
- Essay Samples
- Essay Prompts
- SSAT&ISEE Books
- SSAT&ISEE Downloads
