SSAT Math Question 223: Answer and Explanation
Home > SSAT Test > SSAT Math Practice Tests
Test Information
- Use your browser's back button to return to your test results.
- Do more SSAT Math Practice Tests.
Question: 223
7. If 0 < x < 1, which of the following inequalities is correct?
- A.
< x < x2 - B. x2 < x <

- C. x < x2 <

- D.
< x2 < x
Correct Answer: B
Explanation:
The answer is B
When a fraction between 0 and 1 is raised to a power greater than 1, the fraction becomes smaller. Likewise, when a root is taken of a fraction between 0 and 1, the fraction becomes larger. Thus, x2 < x <
.
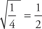
Plug in a number for x. If x =
, then
, and
. Only choice (B) provides the correct range of the values.
