ISEE Word Problems Question 289: Answer and Explanation
Home > ISEE Test > ISEE Word Problems Practice Tests
Test Information
- Use your browser's back button to return to your test results.
- Do more ISEE Word Problems Practice Tests.
Question: 289
8. If ab + 3 = xb – a, then b =
- A.

- B.

- C.

- D.

Correct Answer: A
Explanation:
A
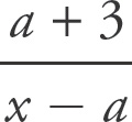
First, add a to both sides and subtract ab from both sides: a + 3 = xb – ab. Factor out b from the right side: a + 3 = b(x – a). Divide both sides by x – a:
= b.
Plug in values for two of the variables, such as a = 6 and b = 4, and solve for x: (6)(4) + 3 = 3x – 6, so 24 = 3x – 6, so 3x + 30, so x = 10. Test the values for x and a in the answers to find the value for b. Only choice (A) works.
