ISEE Word Problems Question 241: Answer and Explanation
Home > ISEE Test > ISEE Word Problems Practice Tests
Test Information
- Use your browser's back button to return to your test results.
- Do more ISEE Word Problems Practice Tests.
Question: 241
5. What is the solution set for x2 + 64 = 0?
- A. 8
- B. 8i
- C. ±8
- D. ±8i
Correct Answer: D
Explanation:
The answer is D
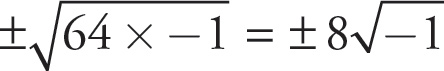
First subtract 64 from both sides: x2 = -64. Take the square root of each side, remembering the there are two solutions for x2: x =
. Separate the 64 from -1: x =
. The square root of negative one is not a real number and is called the imaginary number i. Thus, x = ±8i.
