ISEE Quantitative Comparisons Question 164: Answer and Explanation
Home > ISEE Test > ISEE Quantitative Comparisons Practice Tests
Test Information
- Use your browser's back button to return to your test results.
- Do more ISEE Quantitative Comparisons Practice Tests.
Question: 164
5. 
Use the following choices to answer questions 27-37.
- A. The quantity in Column A is greater.
- B. The quantity in Column B is greater.
- C. The two quantities are equal.
- D. The relationship cannot be determined from the information given.
Correct Answer: C
Explanation:
C
The value of Column A is
, as given. Finding the value of Column B requires a few steps. First, cross multiply the given equation: 7x = 4y. Now isolate one of the variables by dividing both sides by the number in front of that variable. If you isolate y, the result is y =
. Substitute
for y in Column B:
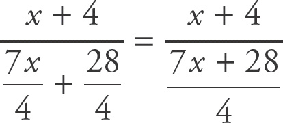
. Simplify first by creating a common denominator for the elements in the denominator:
. Now further simplify the value in Column B by multiplying the numerator and denominator by the reciprocal of the denominator (which is
- SSAT Test
- SSAT Prep
- Test Structure
- Scores
- Test Dates
- SSAT Verbal
- SSAT Synonyms
- SSAT Analogies
- SSAT Reading
- SSAT Math
- SSAT Writing
- Essay Samples
- Essay Prompts
- ISEE Test
- ISEE Prep
- Test Structure
- Scores
- Test Dates
- ISEE Verbal
- ISEE Synonyms
- ISEE Sentence Completion
- ISEE Reading
- ISEE Math
- ISEE Quantitative Reasoning
- ISEE Mathematics Achievement
- ISEE Word Problems
- ISEE Writing
- Essay Samples
- Essay Prompts
- SSAT&ISEE Books
- SSAT&ISEE Downloads
